The Zoom links for the lectures are given below

Mondays 3:35 PM to 3:50 PM
Wednesdays 3:35 PM to 3:50 PM



Design of Li+ Batteries

This Excel File Contains All Calculations Organized into Various Sheets

SUBMENU



The PDF files are given just below. The content when you scroll are image files. You cannot search them - for search download the pdf files.


04A_Nernst.pdf
04B_Energy Density.pdf
04C_Power Density.pdf
04D_Fading.pdf
04E_C-Rate.pdf

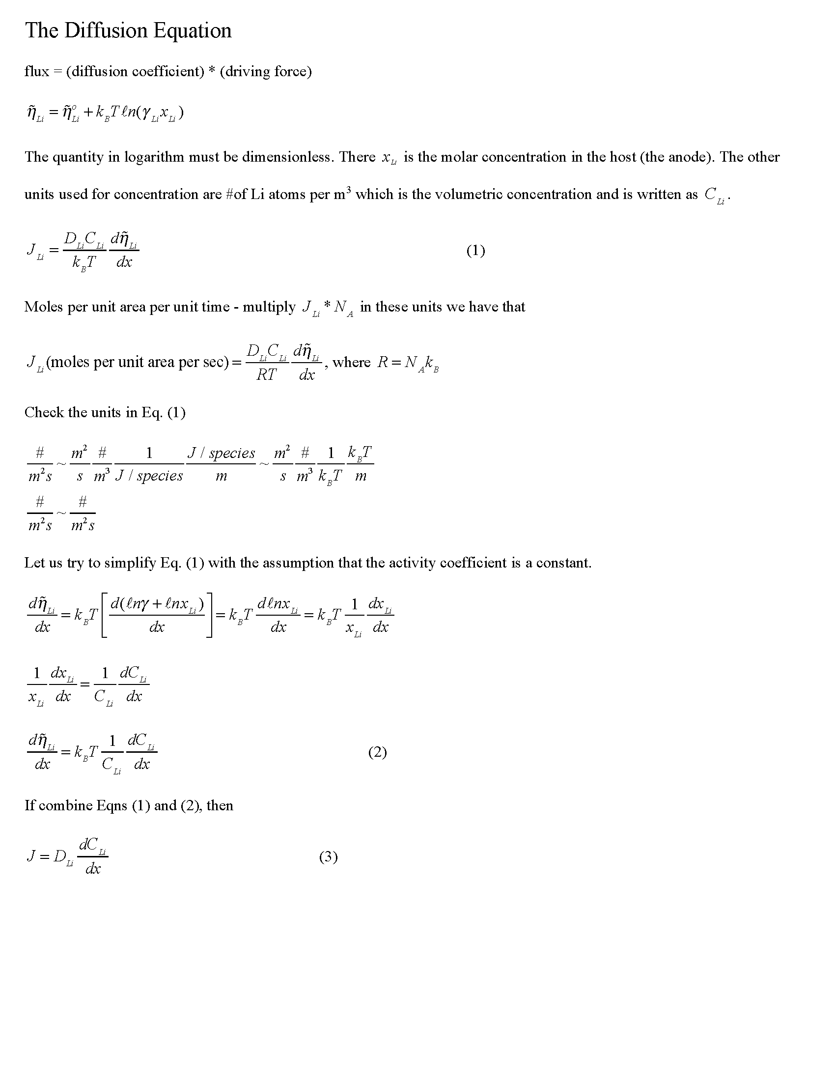
nernst-1 nernst-2 nernst-3 nernst-4 nernst-5
GO TO TOP
energy-1 energy-2 energy-3
GO TO TOP
power-1 power-2 power-3 power-4 power-5 power-6
GO TO TOP
fading-1 fading-2 fading-3 fading-4 fading-5 fading-6 fading-7 fading-8
GO TO TOP
crate-1 crate-2
GO TO TOP