SUBMENU




Images showing the full content for these sub-topics are reached by clicking on the links

The PDF files for the above "submenu" links are given just below
  1. PDF file 21: for "Mass Transport in a single crystal"
    PDF file 22: for "Structure and Purpose of Grain Bonundaries"
    PDF file 23: for "Atomistic Mechanism for Diffusion"
    PDF file 24: for "Chemical Potential and Diffusion Flux"
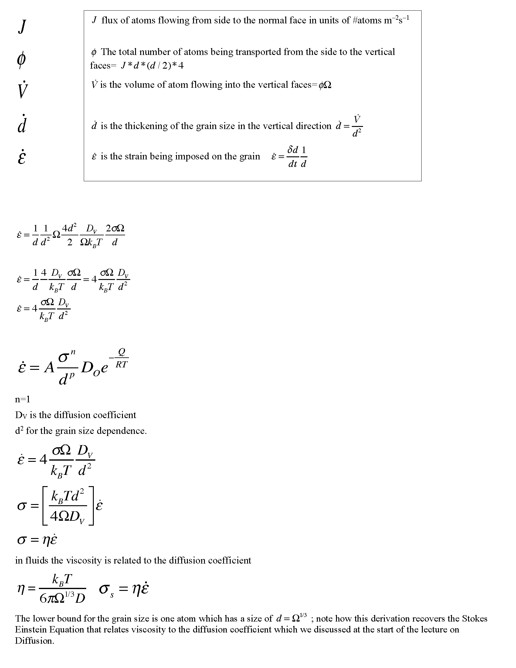
    PDF file 25: for "Derivation of the Equation for the Strain Rate"

Zoom Links are given just below

Monday Lectures 4:10 PM
Wednesday Lectures 4:10 PM

Topic IV - High Temperature Deformation




Geometry of mass transport in small cubes of single crystals

single-1
single-2
single-3
single-4

GO TO TOP

The Structure and the Role of Grain Boundaries

gb-1
gb-2
gb-3

GO TO TOP

Atom Movements and Diffusion

diffusion-1
diffusion-2
diffusion-3
diffusion-4

GO TO TOP

Chemical Potential and Diffusion Flux

chempot-1
chempot-2
chempot-3

GO TO TOP

Derivation of Strain Rate in Polycrystals

rate-1
rate-2
rate-3
rate-4

GO TO TOP