Sintering

SUBMENU








PDF Files for each of sub-topic are given below.
To scroll through the content in these files link to the topics in the SUBMENU just above.

PDF: Linear and Volumetric Strain

PDF: Pores and Driving Force for Sintering

PDF: The Chemical Potential

PDF: Solid State Diffusion along Grain Boundaries

PDF: Equation for Diffusional Flux

PDF: Equation for Sintering Time

PDF: The Arrhenius Equation


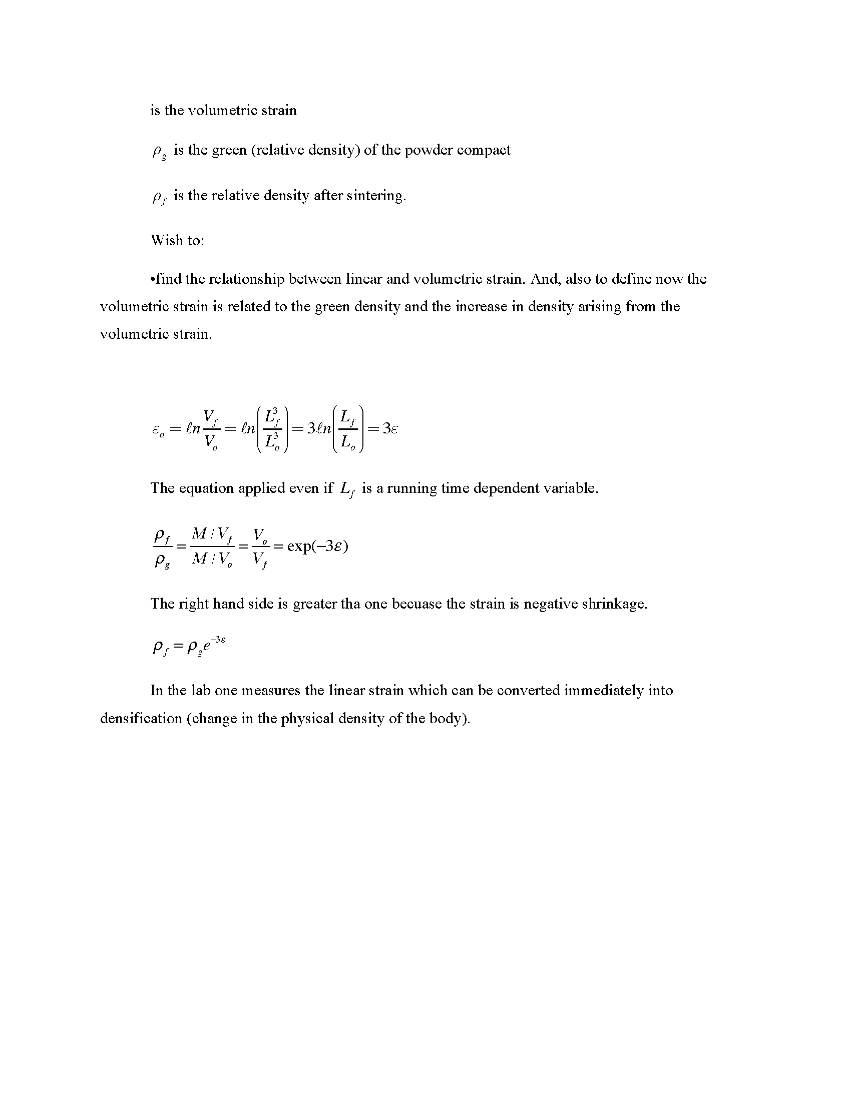
Linear and Volumetric Strain

Geometry-1 Geometry-2

Driving Force for Sintering

Pores-1 Pores-2 Pores-3 Pores-4 Pores-5

The Chemical Potential

chempot-1 chempot-2 chempot-3 chempot-4 chempot-5 chempot-6

Solid State Diffusion in Grain Boundaries

diffusion-1 diffusion-2 diffusion-3 diffusion-4

Equation for Diffusional Flux

diffusionflux-1 diffusionflux-2

Equation for Sintering Time

sintereqn-1 sintereqn-2 sintereqn-3 sintereqn-4

The Arrhenius Equation

arrhenius-1 arrhenius-2 arrhenius-3 arrhenius-4 arrhenius-5